Get App
Download App Scanner
Scan to Download
Advertisement
This Article is From Nov 17, 2022

Axis Bank Hikes FD Interest Rates Once Again; Check New Rates

After hiking the FD interest rates of deposits below 2 Crore, Axis Bank now revised FD interest rates on deposits above 5 Crore.

Axis Bank Hikes FD Interest Rates Once Again; Check New Rates
Signage of Axis Bank seen at one of its branch in Bengaluru, India. (Source: BQ Prime)

Axis Bank has been repeatedly hiking their interest rates for Fixed Deposits. Earlier in the month, the bank hiked their FD interest rates for the first time on November 5, 2022, on deposits below 2 Crore. Then again on November 15, 2022, for the same deposit amount. Later on, the bank updated their FD interest rates on deposits above 5 Crore on November 17, 2022. Read ahead to find out the current interest rates offered by Axis Bank.

Axis Bank FD Interest Rates (Deposit Below 2 Crore)

The revised FD interest rates offered by Axis Bank for regular domestic customers on deposits below ₹2 Crore w.e.f. November 15, are as mentioned below:

  • The interest rate offered on fixed deposits with a maturity of 7 days to 45 days has remained the same i.e. 3.50%.

  • On maturity in 46 days to 60 days, Axis Bank offers the same rate of interest i.e. 4.00%. 

  • On Axis Bank FDs maturing in 61 days to 6 months, customers will continue to get an interest rate of 4.50%.

  • Axis Bank FDs maturing in 6 months to 9 months will fetch the customer 5.25% interest.

  • On deposits maturing in 9 months to 1 year, Axis Bank will continue to give interest at the rate of 5.50%.

  • Customers will continue to get an interest rate of 6.25% on deposits maturing between 1 year to 15 months.

  • For the maturity period of 15 months to 18 months, Axis Bank has hiked the interest rate from 6.25% to 6.40.

  • On FDs maturing between 18 months to 3 years, Axis Bank is offering a hiked interest rate of 6.50% from its earlier 6.30%.

  • For FDs maturing in 3 years to 10 years, Axis Bank continues to offer 6.50% interest.

Also Read: Central Bank of India Revises Interest Rates For Fixed Deposits: Check New Rates

Axis Bank FD Interest Rates (Deposit Below 5 Crore)

Check out the FD interest rates offered by Axis Bank for regular domestic customers on deposits below 5 Crores, w.e.f. November 15, 2022.

Axis Bank FD Interest Rates For Regular Customers On Deposits Less Than ₹5 Crore Source: axisbank.com

Axis Bank FD Interest Rates (Deposit Above 5 Crore)

Check out the FD interest rates offered by Axis Bank for regular domestic customers on deposits above 5 Crores, w.e.f. November 17, 2022.

Axis Bank FD Interest Rates For Regular Customers On Deposits More Than ₹5 Crore Source: axisbank.com

Also Read: Jana Small Finance Bank Hikes Deposit Rates: Offers Up To 7% On Savings Accounts & 8.35% On FD Plus

Axis Bank FD Interest Rates For Senior Citizens (Deposit Below 2 Crore)

Axis Bank has also revised the FD interest rates for deposits below 2 Crores made by senior citizens. Check out the current rates w.e.f. November 15:

  • FD interest rates on deposits made by senior citizens with maturity between 7 days to 6 months are the same as it is for regular citizens, i.e. between 3.50% to 4.50%.

  • For maturity between 6 months to 9 months senior citizens will get 5.50% of interest on FD.

  • On Axis Bank FD on the maturity period between 9 months to 1 year, senior citizens will get 5.75% of interest.

  • On the maturity period between 1 year to 15 months, senior citizens will get 7% interest on their FD.

  • A maturity period of 15 months to 18 months will fetch the senior citizens an interest rate of 7.15%.

  • On Axis Bank FD with a maturity period of 18 months to 10 years, senior citizens get an interest of 7.25%.

Also Read: Kotak Mahindra Bank Hikes Interest Rates On Fixed Deposits (FDs) By Up To 15 Bps

Axis Bank FD Interest Rates For Senior Citizens (Deposit Below 5 Crore)

Check out the FD interest rates offered by Axis Bank for senior citizens on deposits below 5 Crores, w.e.f. November 15, 2022.

Axis Bank FD Interest Rates For Senior Citizens On Deposits Less Than ₹5 Crore Source: axisbank.com

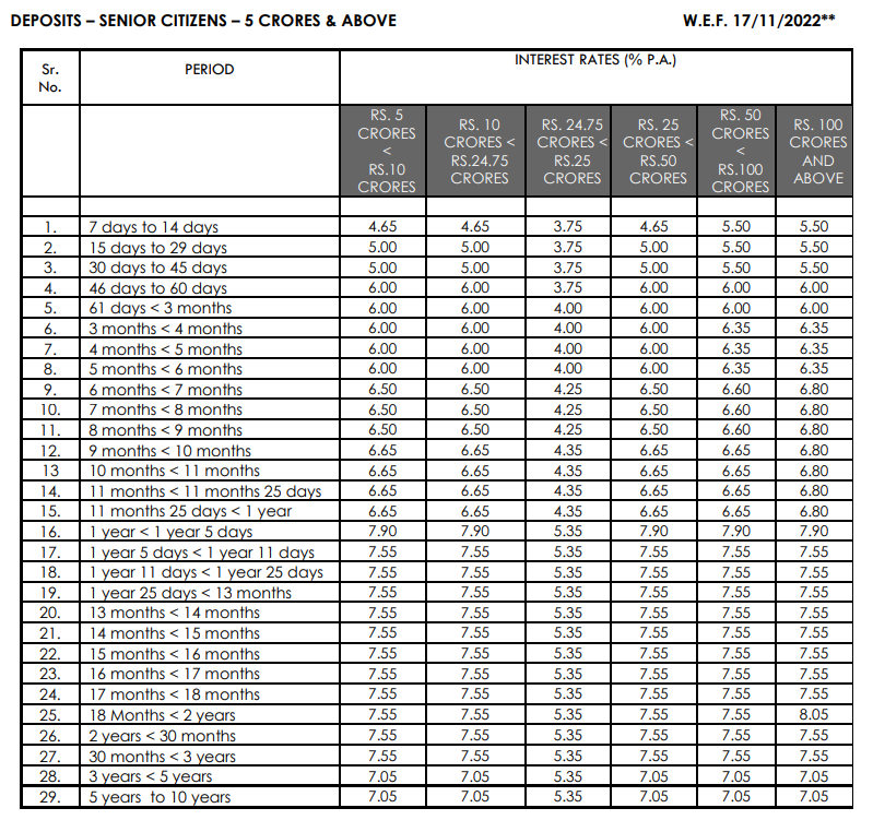
Axis Bank FD Interest Rates For Senior Citizens (Deposit Above 5 Crore)

Check out the FD interest rates offered by Axis Bank for senior citizens on deposits above 5 Crores, w.e.f. November 17, 2022.

Axis Bank FD Interest Rates For Senior Citizens On Deposits More Than ₹5 Crore Source: axisbank.com

Essential Business Intelligence, Continuous LIVE TV, Sharp Market Insights, Practical Personal Finance Advice and Latest Stories — On NDTV Profit.

Newsletters

Update Email
to get newsletters straight to your inbox
⚠️ Add your Email ID to receive Newsletters
Note: You will be signed up automatically after adding email

News for You

Set as Trusted Source
on Google Search
Add NDTV Profit As Google Preferred Source