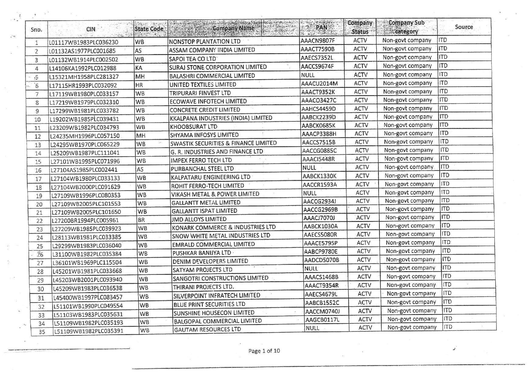
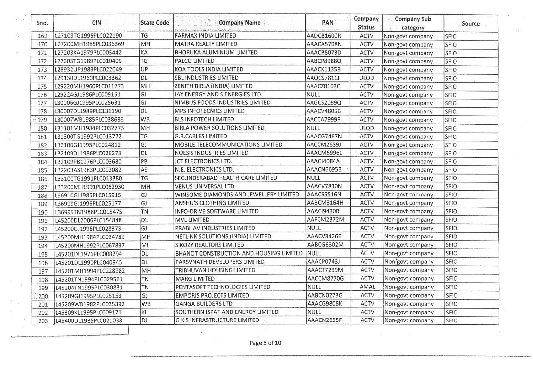
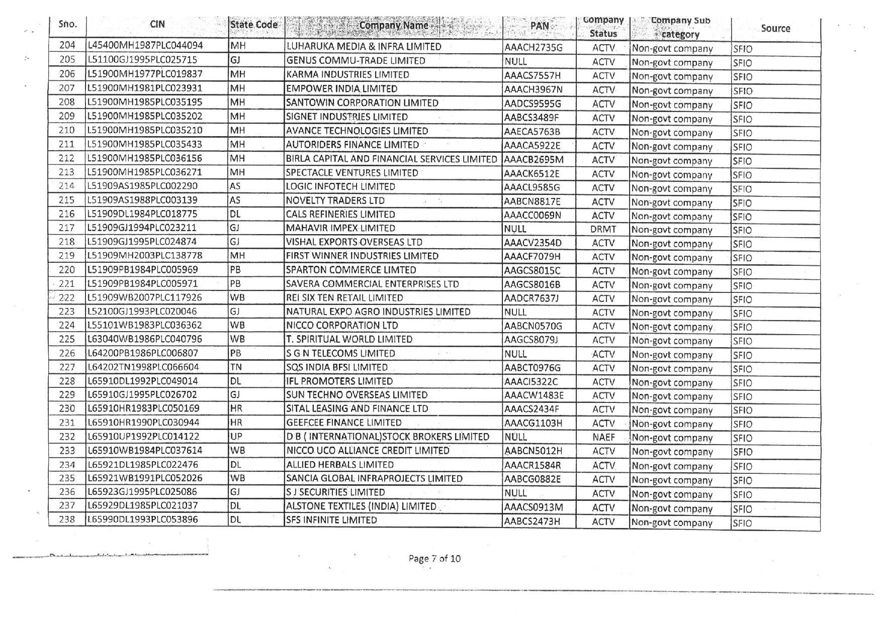
Market regulator Securities and Exchange Board of India (SEBI) on Monday directed stock exchanges to initiate action against 331 suspected shell companies that are listed.
These scrips will not be available for trading this month, according to the communication.
Moreover, the companies would not be allowed to transact in the security except to buy shares in the particular listed company until verification of credential is completed.
The regulator's directive came after the corporate affairs ministry shared a list of 331 listed companies that are suspected to be shell entities and could even face “compulsory delisting”. About 162 of the 331 companies are listed on the exchanges.
Here's The SEBI Order


Here's The Full List Of Companies

Also Read: ‘Shell' Shocked Companies Consider Response To Sudden SEBI Freezing Of Shares









Essential Business Intelligence, Continuous LIVE TV, Sharp Market Insights, Practical Personal Finance Advice and Latest Stories — On NDTV Profit.